Republicans Within Reach of Majority in Avoyelles Parish-Read Now!
By Dr. Jay Callegari
R: 8,383 | D: 8,975 | No Party: 5,637
Republicans Within Reach of Majority in Avoyelles Parish
Voter registration numbers in Avoyelles Parish tell an interesting story. There are currently 8,383 registered Republicans, 8,975 registered Democrats, and 5,637 voters registered as No Party.
That means the Republican Party is just 592 voters away from surpassing Democrats as the largest registered party in the parish. With more than five thousand voters registered as No Party, the balance could shift quickly depending on how people choose to register.
Why This Matters Now
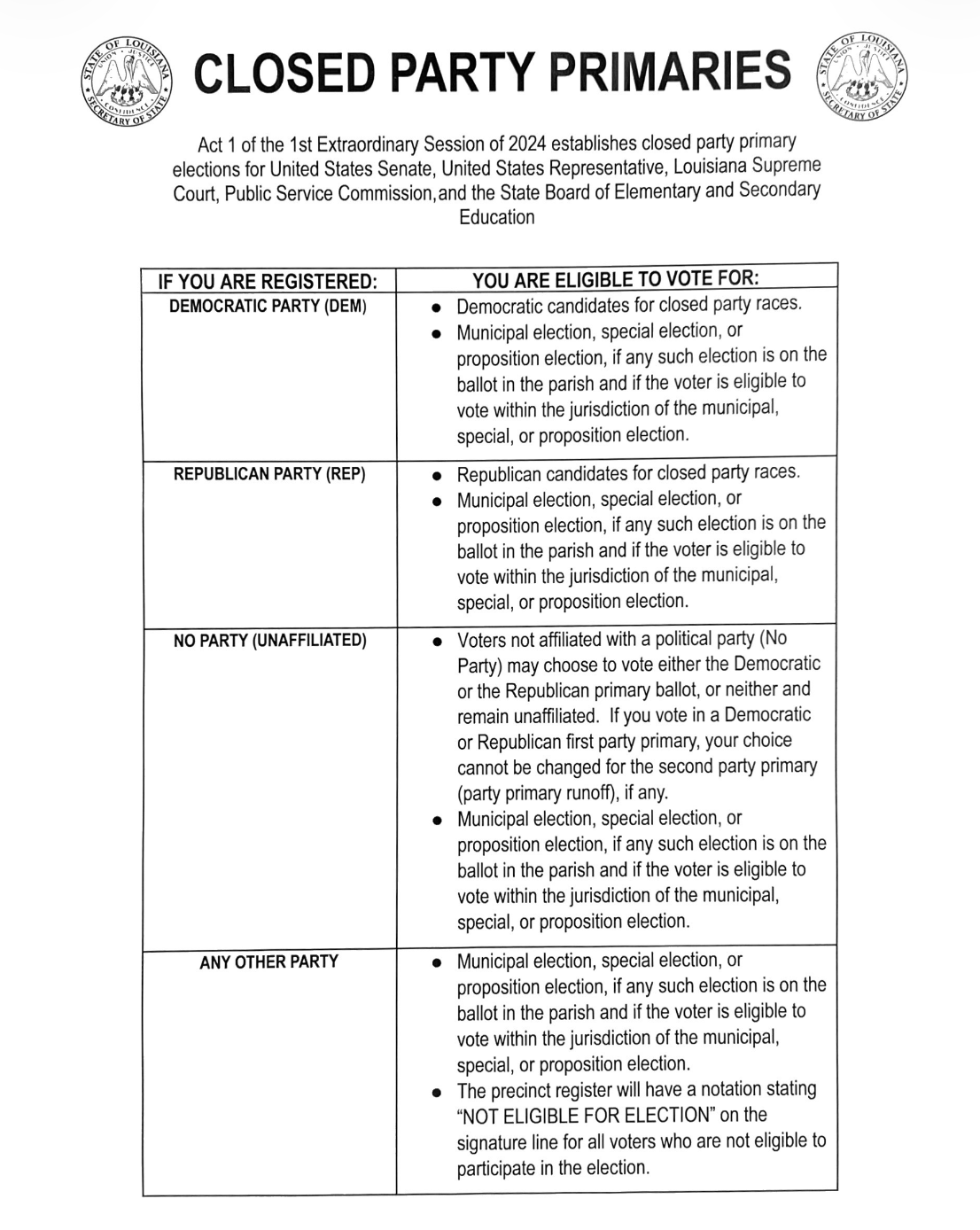
Louisiana is ending the traditional jungle primary system for certain federal and statewide offices. Beginning in 2026, Closed-Party Primaries will apply to the following offices:
- U.S. House
- U.S. Senate
- Louisiana Supreme Court
- Public Service Commission
- Board of Elementary and Secondary Education
Under this new system, your party registration will determine which candidates you can vote for in the primary.
Registered Democrats will only be allowed to vote for Democratic candidates in closed-party primary races. Registered Republicans will only be allowed to vote for Republican candidates.
Voters registered as No Party may choose either the Democratic or Republican ballot at the polling place by completing the required affidavit selecting which party’s ballot they wish to vote.
It is important to note that voters registered as “No Party” will still be able to vote on constitutional amendments, the Parish Home Rule Charter, and other ballot propositions that are not part of a closed-party primary. However, No Party voters will not be able to vote for individual Republican or Democrat candidates in a closed-party primary unless they complete the required affidavit at the polling place selecting which party’s ballot they wish to vote.
The eventual majority winner of each party’s primary advances to the general election. In the general election, the candidate with the greatest number of votes wins, no majority required. That means a candidate must receive 50 percent plus one vote to win a party primary, but in the general election the winner only needs more votes than any other candidate on the ballot.
The Deadline to Make Changes
If you want your voter registration to reflect the party you intend to vote with, the time to act is now.
To be eligible to vote in a particular election, you must be registered at least 20 days prior to an election if registering through the GeauxVote Online Registration System with a Louisiana driver's license or Louisiana special ID card, or 30 days prior to an election if registering in person or by mail. If mailing in an application, the application or envelope must be postmarked 30 days prior to the first election in which you seek to vote.
For the May 16 election, that means changes must be made:
- 30 days prior if done in person or by mail
- 20 days prior if done online
If you are currently registered as No Party or are registered with a party that does not reflect how you intend to vote in federal or certain statewide races, you should review your registration immediately.
Simply voting for a party’s candidates in past elections does not change your registration. Your affiliation only changes if you formally update it.
How to Check or Change Your Registration
You can:
- Visit GeauxVote.com
- Use the free GeauxVote Mobile App
- Contact your parish Registrar of Voters or Clerk of Court
- Visit the Louisiana Secretary of State’s website
The Secretary of State encourages voters to remember K.N.O.W.:
- K – Keep your voter registration current
- N – Not everyone will vote on every race
- O – Offices affected include U.S. House and Senate, Louisiana Supreme Court, PSC, and BESE
- W – Where to find more information: GeauxVote.com
What This Means for Avoyelles
With Republicans only a few hundred voters behind Democrats, and more than 5,600 voters registered as No Party, Avoyelles Parish could soon see a shift in party dominance.
Regardless of which party you support, the key takeaway is simple: your registration now determines your ballot later.
If you want to vote for a Republican candidate in a closed-party primary, you must be registered Republican or properly complete the affidavit as a No Party voter. The same applies for Democratic candidates.
As we move closer to the 2026 elections, now is the time to check where you stand. Waiting until the last minute could mean missing your opportunity to participate in selecting the candidate you support.
Know your status. Update it if necessary. Then geaux vote.


Comments ()